Одной из самых разрушительных пандемий в истории человечества по-прежнему остается пандемия ВИЧ-инфекции.
Общемировое число людей, живущих с вирусом иммунодефицита человека (ВИЧ), в 2020 г. достигло 37,7 (30,2–45,1) млн чел., причем число лиц, заразившихся ВИЧ с начала эпидемии, составило 79,3 (55,9–110) млн чел. Несмотря на успехи в противодействии эпидемии и расширении доступа к антиретровирусной терапии, эпидемия ВИЧ-инфекции по-прежнему продолжает опережать глобальные усилия по ее сдерживанию. Число новых случаев ВИЧ-инфекции в 2020 г. составило около 1,5 (1,0–2,0) млн, а 680 000 (480 000–1 000 000) чел. умерли от болезней, обусловленных СПИДом. С начала эпидемии число умерших составило 36,3 (27,2–47,8) млн чел. [1].
В Российской Федерации в последние 3 десятилетия наблюдается неблагополучная ситуация по ВИЧ-инфекции. Общее число ВИЧ-позитивных граждан, зарегистрированных в Российской Федерации на 31 декабря 2021 г., достигло 1 562 570 чел. Из них умерли по разным причинам 424 974.
В 2021 г., согласно данным формы № 4 «Сведения о результатах исследования крови на антитела к ВИЧ», было выявлено 91 169 положительных результатов при референс-исследовании в иммунном блоте или ПЦР у обследованных на ВИЧ (включая анонимно или повторно обследованных) [2].
Цель исследования – изучение динамики охвата тестированием на антитела к ВИЧ в Российской Федерации и изменение структуры обследуемых контингентов.
Материалы и методы
Анализировали данные формы № 4 федерального статистического наблюдения «Сведения о результатах исследования крови на антитела к ВИЧ», содержащие результаты тестирования на антитела к ВИЧ за период 2011–2021 гг., сводные и в разрезе субъектов Российской Федерации.
Результаты
В течение 2011–2021 гг. наблюдалось ежегодное увеличение охвата тестированием на антитела к ВИЧ населения Российской Федерации (если в 2011 г. охват тестированием составлял 17,3% среднегодовой численности постоянного населения страны, то в 2021 г. уже 27,8%).
Как и в предшествующие годы, в 2021 г. охват населения тестированием на антитела к ВИЧ в разных регионах был неравномерным. Уровень охвата равный и выше среднероссийского значения регистрировали в 29 субъектах РФ. Наибольшее число тестов было проведено в Москве (36,9 на каждые 100 чел. населения), Ямало-Ненецком автономном округе (35,0), Курской (33,2), Сахалинской (32,7), Липецкой (32,3) областях, Кабардино-Балкарской Республике (31,8), Омской (30,9), Иркутской (30,8), Челябинской (30,4), Оренбургской (30,4), Саратовской (30,2), Магаданской (30,1) областях, Республике Тыва (30,0), Краснодарском крае (30,0). В двух субъектах РФ охват населения тестированием составил менее 20%: в Калужской области (19,8 теста на ВИЧ на каждые 100 чел. населения) и Карачаево-Черкесской Республике (14,4).
В абсолютных цифрах число обследованных на антитела к ВИЧ граждан РФ составило 24 734 075 чел. в 2011 г., а в 2021 г. выросло до 40 602 776 чел. (рис. 1).

Как видно из рис. 1, число новых выявленных случаев ВИЧ-инфекции на 100 тыс. обследованных за период 2011–2015 гг. увеличивалось с 332,1 в 2011 г. до 427,7 в 2015 г., затем ежегодный показатель снизился до 224,5 в 2021 г.
В 2021 г. в 24 регионах России показатель впервые выявленных случаев ВИЧ-инфекции на 100 тыс. обследованных превысил среднероссийский уровень: Московской (673,7), Свердловской (411,6) областях, Красноярском крае (393,7), Томской (383,1), Иркутской (359,7) областях, Пермском крае (347,1), Курганской (340,2), Челябинской (333,3), Оренбургской (328,3), Тверской (304,4), Тюменской (302,1), Ульяновской (301,9), Кемеровской (283,6) областях, Алтайском крае (283,6), Новосибирской области (281,6), Удмуртской Республике (281,5), Нижегородской области (268,3), Чукотском автономном округе (254,5), г. Москве (252,0), Республиках Бурятия (251,7), Крым (234,7), Самарской области (230,6), Республике Хакасия (223,4), Мурманской области (221,8). В 22 субъектах РФ показатель впервые выявленных случаев ВИЧ-инфекции на 100 тыс. обследованных составил менее 100,0.
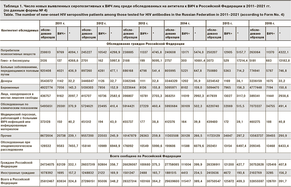
Данные о контингентах обследованных представлены в таблице.


Самую высокую частоту выявления ВИЧ-инфекции регистрировали среди мужчин, имеющих секс с мужчинами (МСМ). Если в 2011 г. показатель частоты выявления новых случаев в этой группе составлял 4368,6 на 100 000 протестированных образцов, то в 2018 г. – 23 106,4, а в 2021 г. снизился до 15 343,9. Приведенные данные свидетельствуют о быстром распространении ВИЧ-инфекции в этой уязвимой группе.
Доля позитивных результатов среди обследованных при эпидемиологическом расследовании была значительной и колебалась в течение 2011–2021 гг. в пределах 7455,7–5282,0 на 100 тыс. обследованных.
Частота выявления ВИЧ-инфекции среди потребителей наркотиков увеличивалась с 4094,1 на 100 000 протестированных образцов в 2011 г. до 5157,7 в 2015 г., затем постепенно снижалась до 1275,8 в 2021 г.
Аналогичную динамику наблюдали среди лиц, находящихся в местах лишения свободы: рост показателя с 2097,7 в 2011 г. до 3117,0 в 2015 г., затем снижение до 1937,4 в 2021 г.
Среди больных инфекциями, передающимися половым путем, показатель выявления ВИЧ-инфекции возрастал с 436,9 на 100 тыс. обследованных в 2011 г. до 746,8 в 2016 г., затем постепенно снижался и составил в 2021 г. 466,8 на 100 000 протестированных образцов.
Среди других контингентов ВИЧ-инфекцию выявляли значительно реже. Например, в 2021 г. показатель частоты выявления новых случаев среди обследованных по клиническим показаниям составил 214,6 на 100 тыс. обследованных, среди прочих – 174,8, среди беременных – 111,1.
Таким образом, в период 2011–2021 гг. в уязвимых группах населения ВИЧ-инфекцию выявляли в 10–27 раз чаще, чем в основной популяции.
При анализе результатов тестирования необходимо обратить внимание на распределение обследуемых по группам тестирования (рис. 2, см. на вклейке).
Как следует из рис. 2, несмотря на увеличение общего числа обследуемых на антитела к ВИЧ, доля лиц, относящихся к уязвимым группам населения (потребители наркотиков; МСМ; лица, находящиеся в местах лишения свободы; больные инфекциями, передающимися половым путем), снизилась с 6,5% в 2011 г. до 3,1% в 2021 г. Основной объем обследований в анализируемый период приходился на группы «прочие» (35,1% в 2011 г., 48,1% в 2019 г., 30,0% в 2021 г.) и «обследованные по клиническим показаниям» (22,2% в 2011 г., 38,0% в 2021 г.).
Согласно Приказу Росстата от 14 февраля 2020 № 66 «Об утверждении формы федерального статистического наблюдения с указаниями по ее заполнению для организации Федеральной службой по надзору в сфере защиты прав потребителей и благополучия человека федерального статистического наблюдения за санитарно-эпидемиологической ситуацией по ВИЧ-инфекции в Российской Федерации», введена в действие новая редакция формы № 4. В ней, помимо внесения 7 новых кодов, добавилось деление по полу среди обследованного взрослого населения. Кроме того, добавлен раздел по исследованиям на ВИЧ с применением простых/быстрых тестов.
При анализе данных формы № 4 за 2021 г. необходимо отметить, что женщины составляли большинство среди протестированных на ВИЧ россиян в таких группах, как «медицинский и иной персонал, работающий с больными ВИЧ-инфекцией или инфицированным материалом» (81,8%), «обследованные добровольно по инициативе пациента» (55,5%), «лица, занимающиеся оказанием коммерческих сексуальных услуг» (66,7%), «больные с клиническими проявлениями ВИЧ-инфекции, СПИД-индикаторных заболеваний» (54,6%), «обследованные на ВИЧ при обращении за медицинской помощью» (54,3%), «прочие» (53,4%), «контактные лица, выявленные при проведении эпидемиологического расследования» (51,0%), «участники аварийной ситуации с попаданием крови и биологических жидкостей под кожу, на кожу и слизистые» (61,4%). Мужчины доминировали в группах «доноры» (63,7%), «лица при призыве на военную службу, поступающие на военную службу по контракту, поступающие в военно-учебные заведения» (89,2%), «лица, употребляющие психоактивные вещества» (74,3%), «лица, находящиеся в местах лишения свободы» (87,1%), «лица с подозрением или подтвержденным диагнозом гепатита В или гепатита С» (54,3%), «иностранные граждане и лица без гражданства» (80,5%).
ВИЧ-инфекцию в 2021 г. почти в 2 раза чаще впервые выявляли у мужчин (302,7 выявленных ВИЧ-позитивных на 100 тыс. обследованных) по сравнению с женщинами (157,1).
В 2021 г. было проведено 3 002 216 исследований на ВИЧ с применением простых/быстрых тестов, выявлено 18 180 (0,6%) положительных результатов.
Развитие в 2020–2021 гг. эпидемии, вызванной распространением вируса COVID-19 в России, отразилось на изменении ежемесячного объема исследований на ВИЧ (рис. 3).

В связи с проведением противоэпидемических мероприятий по COVID-19 в 2020 г. было протестировано на ВИЧ населения на 12,7% меньше по сравнению с «доковидным» 2019 г. Наиболее значительное снижение числа обследованных на ВИЧ (на 24,4–39,4% по сравнению с показателями 2019 г.) произошло в апреле–июне 2020 г., когда в России были введены ограничительные меры по COVID-19. Далее с июля 2020 г. по февраль 2021 г. тестировалось населения на 3,4–16,4% меньше, но происходило плавное восстановление объемов тестирования до уровня 2019 г.
Обсуждение
Наметившаяся в Российской Федерации с 2016 г. тенденция к снижению числа впервые выявленных случаев ВИЧ-инфекции может быть связана как с замедлением темпа распространения ВИЧ-инфекции среди россиян, так и с преимущественным обследованием низко пораженных ВИЧ контингентов, объемы тестирования которых значительно возросли в последние годы. Представители таких групп, как доноры, беременные, обследуются неоднократно в течение года, что также ведет к общему снижению показателя выявляемости. Даже среди уязвимых групп населения лица, выявленные ранее как ВИЧ-инфицированные, повторно не обследуются, поэтому число новых случаев может снижаться, несмотря на увеличение пораженности ВИЧ-инфекцией среди данного контингента.
Заключение
Охват тестированием на ВИЧ в РФ находится на высоком уровне, частота выявления новых случаев ВИЧ-инфекции с 2016 г. снижается.
Эпидемия ВИЧ-инфекции в стране сконцентрирована в уязвимых группах населения, но доля этих групп среди обследованных незначительна.
Необходимо увеличить охват и частоту тестирования на ВИЧ среди уязвимых групп населения, поскольку ВИЧ-инфекция продолжает активно распространяться в этих популяциях.
Новые случаи ВИЧ-инфекции выявляют значительно чаще в уязвимых группах, чем в основной популяции.



